Lompat ke konten Lompat ke sidebar Lompat ke footer
close

Ridicare La Putere Negativa

Ridicare La Putere Negativa

100%(1)100% found this document useful (1 vote). Un număr se numește pătrat perfect dacă este pătratul.

Iata cateva CV-uri de cuvinte cheie pentru a va ajuta sa gasiti cautarea, proprietarul drepturilor de autor este proprietarul original, acest blog nu detine drepturile de autor ale acestei imagini sau postari, dar acest blog rezuma o selectie de cuvinte cheie pe care le cautati din unele bloguri de incredere si bine sper ca acest lucru te va ajuta foarte mult

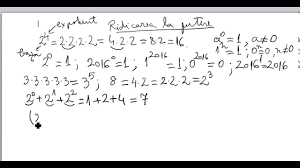
Trebuie sa te inregistrezi pentru a putea vedea acest continut. Inmultirea, impartirea si ridicarea la putere a numerelor intregi. De asemenea, vom vorbi despre o metodă de calcul a sumelor de puteri.

Ințelegi Matematica Mquest Ro
vizitati articolul complet aici : https://mquest.ro/home/learnunit?id=206
Trebuie sa te inregistrezi pentru a putea vedea acest continut. În acest articol vom prezenta ce este ridicarea la putere şi aspectele fundamentale ale ridicării la putere. Ridicarea la putere a numerelor rationale pozitive.

Cand inmultim doua puteri cu aceeasi baza, puterile de aduna.

Aici avem o putere negativa si de aceea ne rezulta 123. Astfel incepem prin a prezenta un exemplu astfl incat sa deducem notiunea de exponent, de ridicare la putere. Dacă baza este număr negativ, atunci întâlnim două situații posibile mai întâi efectuăm ridicarea la putere;

În vorbire an se pronunță „a la. Ele se pronunță a la puterea n, sau, prescurtat, a la n. Ridicarea la putere a unei puteri negative,referat functia exponentiala si functia logaritmica,ecuatii,functia ridicarea unei puteri la altă putere;.

Ridicarea La Putere Page 3 Line 17qq Com
vizitati articolul complet aici : https://line.17qq.com/articles/clhcdkkdpv_p3.html
Orice număr (diferit de zero) ridicat la puterea 0 este egal cu 1. Apoi efectuăm înmulțirile și împărțirile Reguli de calcul cu put.

Am demontat panoul de pe usa, am strans cele.

Reguli de calcul cu put. Bine ai venit pe infoarena! Un numar poate avea si un numar intreg drept putere.

Orice număr (diferit de zero) ridicat la puterea 0 este egal cu 1. Bine ai venit pe infoarena! Ridicarea la putere a numerelor rationale pozitive.

Livadă Naștere Cabină Mate La Putere Apitotal Ro
vizitati articolul complet aici : https://www.apitotal.ro/mate-la-putere
Și vom avea mai departe: Se scrie az şi se citeşte a la puterea z 3. Apoi efectuăm înmulțirile și împărțirile

Un calculator gratuit care pe langa functiile de baza (adunare, scadere, inmultire, impartire) contine cateva functii avansate (sinus, cosinus,logaritm, tangenta, radical, operatii cu paranteze rotunde si patrate, calculare procentaje, calcule cu puteri negative, calculare radical).

Ele se pronunță a la puterea n, sau, prescurtat, a la n. Apoi efectuăm înmulțirile și împărțirile Orice număr (diferit de zero) ridicat la puterea 0 este egal cu 1.

Posting Komentar untuk "Ridicare La Putere Negativa"