Lompat ke konten Lompat ke sidebar Lompat ke footer
close

Integrarea Prin Parti Exercitii Rezolvate

Integrarea Prin Parti Exercitii Rezolvate

Sunt derivabile și au derivate continue pe. Exercitii rezolvate, integrare prin parti.

Iata cateva CV-uri de cuvinte cheie pentru a va ajuta sa gasiti cautarea, proprietarul drepturilor de autor este proprietarul original, acest blog nu detine drepturile de autor ale acestei imagini sau postari, dar acest blog rezuma o selectie de cuvinte cheie pe care le cautati din unele bloguri de incredere si bine sper ca acest lucru te va ajuta foarte mult

Platforma educationala pentru copii, parinti si profesori. J r sunt functii derivabile cu derivatele. Acest articol a fost publicat în analiza matematică și etichetat cu exercitii rezolvate, integrala, integrare prin părţi.

Primitive Integrala Unei Functii Formulele Integralei Nedefinite Exercitii Rezolvate Videomeditatii
vizitati articolul complet aici : https://sites.google.com/site/videomeditatii/clase-liceale-9-12/clasa-a-12-a-materii-de-studiu/programa-scolara-pentru-matematica-clasa-a-xii-a/primitive-integrala-unei-functii-formulele-si-aplicatiile-integralei-definite
Iar acum daca aplicam formulele pentru primitive. 0 ratings0% found this document useful (0 votes). Dacă derivata este egală cu funcţia h, rezultatul obţinut este corect şi.

Cel mai des este folosită când f și g sunt funcții distincte.

Exerciţii rezolvate integrare prin părţi. La integrarea prin parti exista vre'o shmecherie??? Integrarea prin schimbare de variabila.

Exercitii rezolvate, integrare prin parti. Mai 5th, 2020, 9:02 am. Integrarea prin părţi este o metodă utilizată în analiza matematică pentru determinarea primitivei produsului a două funcţii, când se cunoaşte primitiva uneia.

Integrare Prin Părți Math Wiki Fandom
vizitati articolul complet aici : https://math.wikia.org/ro/wiki/Integrare_prin_p%C4%83r%C8%9Bi
Integrarea prin schimbare de variabila. Exponențială • trigonometrică (e^x •sinx). Formula | exemple rezolvate ale integralelor prin parti, metoda integrarii prin parti, rezolvarea prin parti a integralelor, integralele de forma produselor de functii, in general, folosind practic integrarea formulei derivatei unui produs de doua functii.

Incercam cu acest proiect sa raspundem cat mai punctual nevoilor elevilor, deci orice feedback ajuta.

Видео integrare prin parti, exercitiu rezolvat (lic_integrareprinparti12). Incercam cu acest proiect sa raspundem cat mai punctual nevoilor elevilor, deci orice feedback ajuta. Transmite sugestii, povesti, exercitii etc.

Iar acum daca aplicam formulele pentru primitive. In cele peste 600 de videoclipuri ale. La integrarea prin parti exista vre'o shmecherie???

Proiect Plan Lectie Integrale C12 Bun
vizitati articolul complet aici : https://www.slideshare.net/cameliababus/proiect-plan-lectie-integrale-c12-bun
In cele peste 600 de videoclipuri ale canalului veti gasi atat definitii, proprietati, formule utile cat si exercitii rezolvate, prob. In cele peste 600 de videoclipuri ale canalului veti gasi atat definitii, proprietati, formule utile cat si exercitii rezolvate, probleme rezolvate. Exercitii rezolvate si probleme rezolvate adaugam constant.

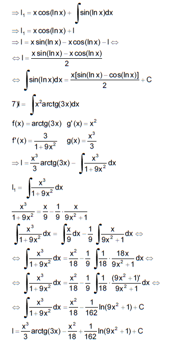
Aveți mai jos câteva exemple de calcul prin această metodă ( pentru integrală din *un blog dedicat elevului:

Integrarea prin parti, daca f, g functii derivabile cu derivate continue atunci functiile admit primitive si multimile lor de primitive sunt legate prin relatia. Exercitii rezolvate si probleme rezolvate adaugam constant. J r sunt functii derivabile cu derivatele.

Posting Komentar untuk "Integrarea Prin Parti Exercitii Rezolvate"