Lompat ke konten Lompat ke sidebar Lompat ke footer
close

Sensul Propriu Si Figurat

Sensul Propriu Si Figurat

You were a loose cannon, commander, both figuratively and literally. Eu inteleg sensul figurat al cuvintelor, insa nu exclud nici sensul propriu al acestora, care mi se pare chiar mai profund si la fel de adevarat.

Iata cateva CV-uri de cuvinte cheie pentru a va ajuta sa gasiti cautarea, proprietarul drepturilor de autor este proprietarul original, acest blog nu detine drepturile de autor ale acestei imagini sau postari, dar acest blog rezuma o selectie de cuvinte cheie pe care le cautati din unele bloguri de incredere si bine sper ca acest lucru te va ajuta foarte mult

♦ (despre stil, limba etc.) care contine (multe) figuri poetice; Sensul propriu si sensul figurat cuvântul sensul cuvintelor în context unitatea de bază a vocabularului este cuvântul care are: Tu ești un pericol social, comandante, și propriu și la figurat.

Noile Programe De Examen La Limba Romană și Matematică Pentru Evaluarea Națională 2021 Au Fost Publicate In Monitorul Oficial Structura Subiectelor Se Schimbă Dispar Compunerile și Sunt Evaluate Competențele De Tip Pisa
vizitati articolul complet aici : https://www.edupedu.ro/breaking-noile-programe-de-examen-la-limba-romana-si-matematica-pentru-evaluarea-nationala-2021-au-fost-publicate-in-monitorul-oficial-structura-subiectelor-se-schimba-dispar-compunerile-si-sunt-e/?source=biziday
(despre cuvinte, expresii sau despre sensul lor) întrebuințat cu alt înțeles decât cel obișnuit, propriu, de obicei pentru obținerea unor efecte stilistice. It was a sign, literally and figuratively. Text nonliterar articol de ziar.

Este strict dependent de context.

You were a loose cannon, commander, both figuratively and literally. Alcatuiti 2 propozitii in care cuvintul floare sa fie folosit cu sens propriu si sens figurat????va rog. Imi spui ca nu te poti identifica cu ceea ce faci.

Sensul figurat este sensul neobişnuit al unui cuvânt, folosit pentru a forma o imagine artistică: Primăvara obişnuia să fie anotimpul meu preferat, chiar cu tot cu astenia însoţitoare. Eu inteleg sensul figurat al cuvintelor, insa nu exclud nici sensul propriu al acestora, care mi se pare chiar mai profund si la fel de adevarat.

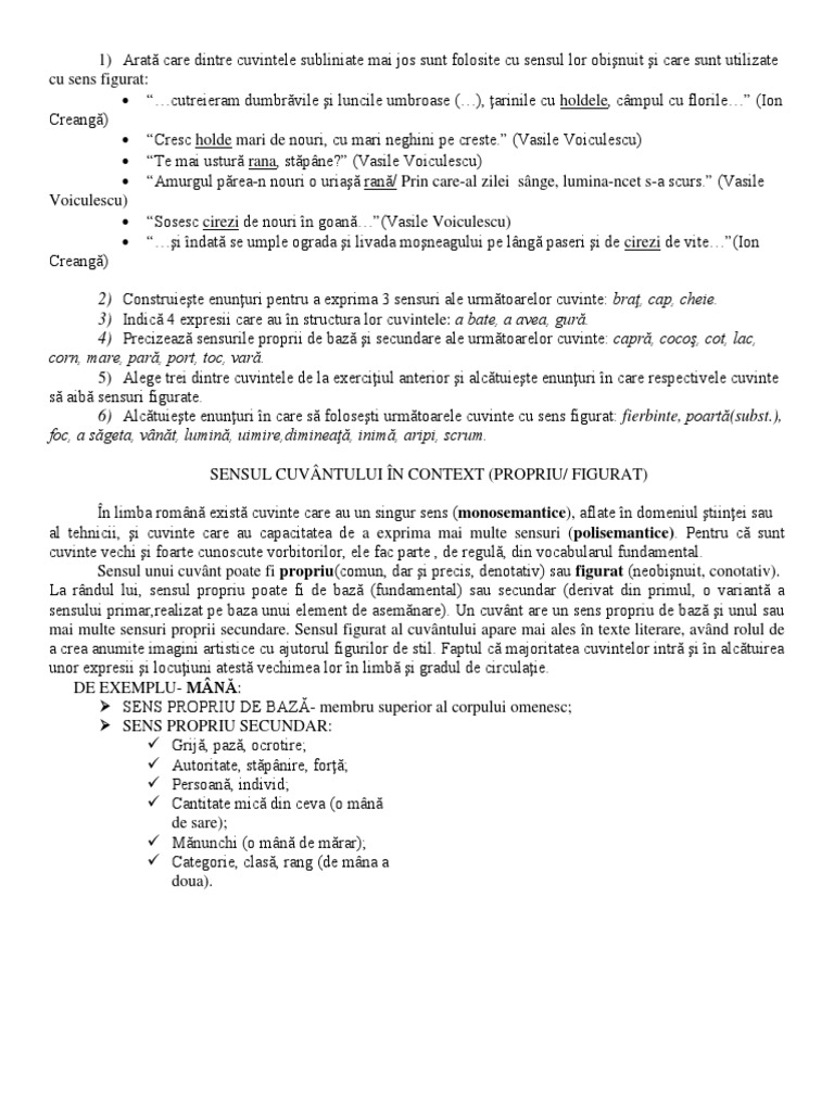
Cuvantul In Context Sensul Propriu Si Figurat Pdf
vizitati articolul complet aici : https://ru.scribd.com/document/376257724/Cuvantul-in-Context-Sensul-Propriu-Si-Figurat
♦ (despre sensul unui cuvînt, spre deosebire de figurat) de bază, prim. Ploaie, la propriu şi la figurat. El trimite la semnificația clară, precisă și uzuală a unui cuvânt și are două aspecte:

Text nonliterar articol de ziar.

Contine fise de lucru pt elevi Referatele si lucrarile oferite de referate.ro au scop educativ si orientativ pentru cercetare academica. Sensul figurat este sensul neobişnuit al unui cuvânt, folosit pentru a forma o imagine artistică:

Contine fise de lucru pt elevi Sensul propriu si sensul figurat 1. La școală cu frunze de nuc .

Pamphlet Style Spade Piatra Sens Propriu De Baza Secundar Si Figurat Speeddatingdelaware Com
vizitati articolul complet aici : https://www.speeddatingdelaware.com/frigidere_ieftine_mici/piatra-sens-propriu-de-baza-secundar-si-figurat
Bratul soarelui imbratiseaza intreaga tara. Sensul propriu si sensul figurat cuvântul sensul cuvintelor în context unitatea de bază a vocabularului este cuvântul care are: Sensul figurat este sensul neobişnuit al unui cuvânt, folosit pentru a forma o imagine artistică:

(despre cuvinte, expresii sau despre sensul lor) intrebuintat cu alt inteles decat cel obisnuit, propriu, de obicei pentru obtinerea unor efecte stilistice.

Sensul propriu si sensul figurat cuvântul sensul cuvintelor în context unitatea de bază a vocabularului este cuvântul care are: De regulă, acest sens este asociat cu figurile de stil: You were a loose cannon, commander, both figuratively and literally.

Posting Komentar untuk "Sensul Propriu Si Figurat"